Adriano tuvo una villa de lujo en Tárraco y los restos muestran cómo se fue apagando estancia a estancia

El dirigente romano eligió un enclave cercano a la costa para descansar durante estancias largas

Héctor Farrés

0

Un emperador no se instalaba en cualquier lugar ni pasaba el invierno en una casa cualquiera. El emperador Adriano se alojó en Tárraco y utilizó una residencia cercana pensada para el descanso, donde las estancias abiertas al mar, los jardines y los baños permitían pasar largos periodos lejos del ajetreo político de Roma.

En ese tipo de villas, las jornadas transcurrían entre comida abundante, paseos por galerías y uso continuado de las termas. Ese modelo de vida exigía espacios amplios, agua disponible y una organización capaz de mantenerlo.

La residencia de Els Munts ofrecía lujo y ocio en el siglo II

La villa de Els Munts, que habría albegado al emperador en el año 122 d.C., mantuvo una economía ganadera diversificada después de que un incendio dañara parte del complejo, sin señales de escasez pese a la pérdida de lujo. El trabajo que analiza esta etapa, recogido por La Brújula Verde y publicado en Journal of Archaeological Science: Reports, describe cómo los restos animales permiten reconstruir la actividad diaria tras la crisis.

Adriano pasó temporadas en una villa junto al mar en Tárraco

Los datos indican que la producción y el consumo siguieron activos durante siglos posteriores, con cambios en la forma de aprovechar los recursos. Esa continuidad muestra que la villa no quedó abandonada de forma definitiva, sino que se adaptó a nuevas condiciones.

Els Munts se levantó a unos 12 kilómetros de Tárraco como residencia de alto nivel durante el siglo II d.C. Las salas estaban cubiertas con mosaicos, las paredes tenían pinturas y el agua circulaba por fuentes y estanques.

Un patio central organizaba el conjunto y varias galerías abrían vistas hacia el jardín y el mar. También había dos complejos de baños, uno junto a la playa, donde el agua caliente circulaba bajo el suelo. Esa disposición permitía pasar temporadas largas con un ritmo centrado en el ocio.

La inestabilidad en Tárraco cambió la situación en el siglo III

La situación cambió en el siglo III d.C., cuando Tárraco atravesó un periodo de inestabilidad. Durante el reinado de Galieno, grupos de francos llegaron a asediar la ciudad y pudieron ocupar parte del territorio. Algunas de esas tropas permanecieron en la zona durante años, lo que alteró el control del entorno y afectó a las grandes residencias cercanas. Esa presión exterior coincide con los daños detectados en la villa.

Los restos animales revelan qué se comía en la villa

En los restos recuperados aparecen animales que permiten ver qué se comía y cómo se gestionaba la producción. Las ovejas y las cabras suman el 23% de los restos identificados, seguidas por los cerdos con un 21% y los bovinos con un 17%. También hay équidos, aves, conejos y algunos ciervos.

Los patrones de sacrificio muestran que muchos caprinos se mataban antes de cumplir tres años, lo que indica un consumo centrado en la carne. En el caso del cerdo, hay ejemplares jóvenes y otros más adultos, lo que apunta a una producción continua y a la conservación de partes como jamones.

Un incendio arrasó parte del complejo y dejó víctimas

El incendio que afectó a la villa dejó señales claras en el subsuelo. En ese nivel aparecieron dos personas, una con los pies sujetos por cadenas y otra con golpes en el cráneo. Esos cuerpos quedaron entre materiales quemados, lo que indica que el fuego alcanzó zonas habitadas. Ese hallazgo sitúa un episodio violento dentro del proceso de abandono parcial del edificio y tiene relación con la inestabilidad que se vivía en la zona.

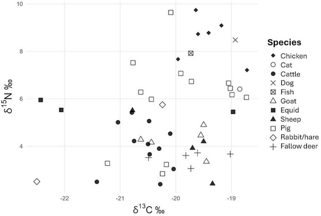
Para entender lo ocurrido después, Lidia Colominas, investigadora del Institut Català d’Arqueologia Clàssica, analizó 813 restos de animales junto con un estudio isotópico de 66 de ellos. Los valores de carbono y nitrógeno en los huesos permiten saber qué comían los animales y si procedían de distintos lugares. Los resultados muestran variaciones que apuntan a orígenes diversos, lo que indica que parte del ganado llegaba desde otras explotaciones y no se criaba en la propia villa.

La actividad continuó con recursos suficientes pero otro nivel

Tras el incendio, la villa volvió a ocuparse durante el siglo IV. Algunas zonas se modificaron, como el pórtico, y se añadió una cisterna. Otras partes se dejaron de usar, como el semisótano. Las decoraciones desaparecieron y los espacios residenciales se destinaron a tareas agrícolas. Ese cambio se ve en la distribución interna y en los materiales recuperados, donde ya no aparecen elementos decorativos de alto nivel.

La inestabilidad en Tárraco cambió la situación en el siglo III

El conjunto de datos indica que no hubo una falta de alimentos en ese periodo, pero tampoco se repiten los patrones de consumo de las élites romanas. No aparecen grandes cantidades de ostras ni una presencia destacada de carne de caza.

Aun así, hay indicios de actividades asociadas a un cierto nivel, como la posible cría de ciervos en recintos cercanos o la presencia de un caballo utilizado para montar. Ese equilibrio muestra una villa que perdió parte de su riqueza inicial, pero siguió funcionando con recursos suficientes y con una actividad que no se detuvo.

Etiquetas
stats