Has elegido la edición de . Verás las noticias de esta portada en el módulo de ediciones locales de la home de elDiario.es.

TMB es compromet per escrit amb els seus directius i comandaments a ocultar els seus salaris reals

Estació del metro de Barcelona, operat per TMB

Arturo Puente

La transparència avança lenta però imparable a TMB, l'empresa pública de transports de Barcelona. La revelació aquest diumenge dels sous de la més alta cúpula directiva, per part de La Vanguardia, ha posat llum sobre un dels aspectes fins ara desconeguts. Però en l'horitzó de la transparència deguda a l'empresa queden assumptes tan espinosos com els sous individualitzats de prop de 566 persones fora de conveni, bona part d'elles amb funcions directives i de comandament.

Aquesta informació hauria de conèixer-se a causa de la petició de transparència que Catalunya Plural va introduir per vies oficials al febrer de 2016, que malgrat tenir una resolució favorable de l'autoritat catalana de la transparència (GAIP), l'empresa no ha complert. A més, un grup de directius va recórrer la resolució davant el Tribunal Superior de Justícia de Catalunya, que va imposar mesures cautelars.

Però, a més de l'incompliment sostingut de la resolució de transparència, l'empresa es va comprometre aquest gener a continuar emmascarant els sous dels seus directius abans de fer-los públics, quan es va veure obligada per transparència. En una comunicació enviada al conjunt del seu personal fora de conveni, el conseller delegat, Enric Cañas, es compromet a lliurar la informació de tal manera que apareguin unes quantitats no individualitzades i que, a més, “no es corresponen a la quantitat real percebuda”, en les seves pròpies paraules.

Catalunya Plural ha tingut accés al mail enviat a Jordi Maset, líder del PSC al Masnou i impulsor del recurs dels directius de TMB contra la resolució de Transparència, que aquests van aportar a la causa del TSJC.

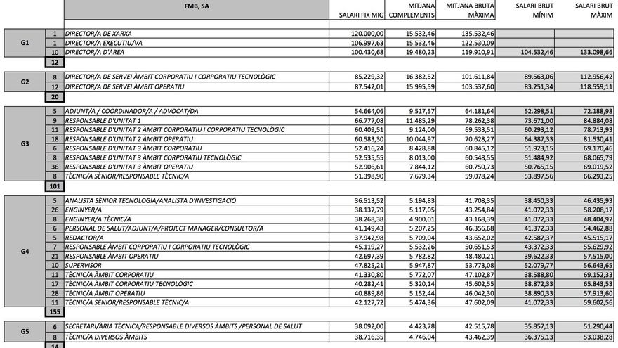
El màxim directiu de l'empresa explica així les seves intencions: “Per als llocs de treball que tinguin més d'un ocupant es facilitarà la retribució mitjana dels ocupants del lloc i, en aquells llocs de treball on el lloc és unipersonal, es facilitarà la informació singularitzada i individualitzada ”. Les mitjanes a què fa referència Cañas poden realitzar-se entre desenes de salaris, a causa que segons la taula organitzativa de TMB els mateixos llocs poden ser ocupats per un elevat nombre de treballadors.

“En qualsevol cas”, continua explicant el conseller delegat, “és una retribució màxima teòrica atès que està homogeneïtzada en jornada i anualitzada i que, per tant, no es correspon a la quantitat real percebuda per l'ocupant del lloc”.

Segons reflecteix en el seu escrit l'home de Barcelona en comú a l'empresa, les quantitats que promet lliurar no només són mitjanes entre diversos de treballadors sinó que, a més, es corresponen amb “màximes teòriques”. D'aquesta manera no hi hauria manera de conèixer quant cobra cada un dels treballadors de cada lloc de treball. El mateix Cañas es refereix a aquesta pràctica com un “compromís” adquirit amb els destinataris del missatge.

Aquestes són les taules salarials, no individualitzades, que fins ara han estat facilitades per l'empresa i que la Comissió de Transparència ja ha dit que no satisfan les obligacions legals d'accés a la informació.

Contra el criteri de les autoritats en transparència

Aquesta forma de lliurar les dades aniria en contra dels mandats que diversos organismes competents en transparència han fet a l'empresa. Per exemple, l'Autoritat Catalana de Protecció de Dades, davant d'una petició de la pròpia TMB, va assegurar en el seu dictamen del 7 d'octubre de 2016 que per al col·lectiu dels fora de conveni la informació lliurada havia d'estar individualitzada en tots els casos.

També la GAIP ha expressat en diverses ocasions que l'empresa ha de lliurar la seva Relació de Llocs de Treball completa, com en la mateixa resolució del 7 de juliol de 2016, i que, per aquest instrument organitzatiu, no es poden fer mitjanes entre grups sinó que han de conèixer-se el salari real de cada treballador, en el cas dels fora de conveni.

La regidora avala la proposta de Cañas

Malgrat els mandats contraris a aquesta pràctica, des de la regidoria de mobilitat de Barcelona, competent a TMB, es va avalar la proposta del conseller delegat. “Considerem que la fórmula de càlcul escollida respon als requeriments de la pròpia GAIP i l'interès de donar els sous màxims que poden arribar a cobrar aquests treballadors, precisament per no ometre cap concepte”, va explicar la regidora Mercedes Vidal (Bcomú) en declaracions a aquest diari.

Des de l'empresa també entenen que aquesta comunicació “es tracta d'un pas més dels que ha fet la Direcció de TMB per complir la llei de transparència i les resolucions de la GAIP”. Segons expliquen, la frase “que no es correspon amb la quantitat real percebuda” s'ha d'entendre “en el sentit que [la xifra] serà més alta que la real, com passa amb les remuneracions dels directius de l'empresa publicades al web ”.

Etiquetas
stats