Has elegido la edición de . Verás las noticias de esta portada en el módulo de ediciones locales de la home de elDiario.es.
Sobre este blog

Piedras de papel es un blog en el que un grupo de sociólogos y politólogos tratamos de dar una visión rigurosa sobre las cuestiones de actualidad. Nuestras herramientas son el análisis de datos, los hechos contrastados y los argumentos abiertos a la crítica.

Autores:

Aina Gallego - @ainagallego

Alberto Penadés - @AlbertoPenades

Ferran Martínez i Coma - @fmartinezicoma

Ignacio Jurado - @ignaciojurado

José Fernández-Albertos - @jfalbertos

Leire Salazar - @leire_salazar

Lluís Orriols - @lluisorriols

Marta Romero - @romercruzm

Pablo Fernández-Vázquez - @pfernandezvz

Sebastián Lavezzolo - @SB_Lavezzolo

Víctor Lapuente Giné - @VictorLapuente

Luis Miller - @luismmiller

Lídia Brun - @Lilypurple311

Sandra León Alfonso - @sandraleon_

Héctor Cebolla - @hcebolla

Ignacio Urquizu - @iurquizu

Dos crisis por el precio de una

Ignacio Jurado

Una de las grandes consecuencias de la reciente crisis económica ha sido el gran impacto que ha tenido en el crecimiento del malestar con cómo funcionan nuestras democracias. Este legado es particularmente importante en España, donde el legado de la crisis económica en la satisfacción con el sistema político es muy grande. Algunas de estas cuestiones ya las indagué en este post hace casi cuatro años. Los españoles estaban a la cabeza de Europa en el descenso de la valoración de su sistema político como consecuencia de la crisis económica. A la pregunta de cómo estaban de satisfechos con cómo funciona la democracia en su país en una escala de cero a diez, los españoles pasamos de valorar la democracia española en 5,8 en el año 2008 antes del tsunami de la crisis, a reducir esa valoración a 3,98 en 2012, cuando la crisis había golpeado ya de lleno (algunos países como Grecia, que podrían tener descensos mayores, no aparecen porque en ellos no se realizó la segunda encuesta). En este gráfico muestro, la comparación con 2014 en que la crisis ya estaba remitiendo en bastantes países. Tal y como ocurría con la comparación de 2012, España es donde la huella de la crisis económica es más patente en la reducción de la satisfacción con la democracia.

Gráfico 1: Caída de la satisfacción con la democracia en Europa (2008-2014)

En esta caída, es evidente que la crisis juega un papel fundamental. No obstante, lo interesante de España, al igual que el resto de los países del Sur, es que se ha dado la tormenta perfecta. La crisis económica vino acompañada de una fuerte crisis política. Mientras veíamos la preocupación por la economía crecer, hemos visto simultáneamente el descontento político alcanzar cotas sin precedentes. La preocupación por la clase política, los partidos políticos y la corrupción subió al tercer puesto de los problemas del país en las encuestas del CIS. Esta crisis política, de hecho, se encuentra en el centro del terremoto que ha recorrido Europa y sus sistemas de partidos, donde hemos visto a los partidos clásicos, en general y nuevos partidos de índole muy diversa emergiendo y, en casos como Francia y ahora parece que Italia también, alcanzando el Gobierno.

Esto nos lleva a una pregunta relevante para entender las transformaciones que estamos viviendo. ¿Dónde está la razón fundamental del descontento con la democracia en España? Para indagar en esto con mayor profundidad, Rosa Navarrete (Universidad de Mannheim) y yo mismo realizamos un experimento en que intentamos analizar son las distintas maneras de concebir y racionalizar la crisis económica y ver cuáles son más prevalentes. Así, el pasado enero realizamos una encuesta el que preguntábamos a una muestra representativa de españoles sobre sus percepciones alrededor de la existencia de carencias en el sistema político y en la economía española. A la mitad de los encuestados, les sometíamos a un experimento de “priming” en el que antes de realizarles las preguntas les mencionábamos la crisis económica y les hacíamos pensar en ese “marco”. Comparando el grupo que recibe el tratamiento sobre la crisis con los que no lo reciben, podemos analizar si los ciudadanos relacionan más la crisis económica con factores políticos o económicos. Más en concreto, les preguntábamos por si estaban de acuerdo con dos afirmaciones. La primera es “El sistema económico sólo favorece a los poderosos” con la que pretendemos comprobar si los ciudadanos relacionan la crisis con problemas de índole económica en el que la economía no les favorece. La segunda afirmación es “Los partidos políticos no me representan” con las que pretendemos comprobar si la crisis se relaciona con factores políticos y de representación. El grado de acuerdo con estas afirmaciones está medido de 1 a 5, donde “1” es “totalmente en desacuerdo” y “5” es “totalmente de acuerdo”.

El gráfico muestra cuánto aumenta el grado de acuerdo con cada una de las afirmaciones después de haber recibido el tratamiento (comparado con aquellos a los que no hacemos pensar en términos de la crisis económica). Como podemos comprobar, la crisis económica se relaciona con ambos factores. Aquellos a los que reforzamos para que piensen en la crisis de los últimos años son ligeramente más propensos a decir tanto que el sistema económico no produce resultados justos, como que los partidos políticos no le representan.

Gráfico 2: Efecto del priming de la crisis económica sobre representación y percepción del sistema económico

Este resultado, no obstante, considera a la población como homogénea. En cambio, cabe pensar que estas percepciones no son iguales para todos los individuos. Algunos individuos podrían ser más propensos a leer la crisis económica como más política y otros como una cuestión más relacionada con fallas en el sistema económico. En concreto, nuestro entendimiento del mundo suele estar filtrado a través de nuestras predisposiciones ideológicas, por lo que es posible que si las personas se consideran más de izquierdas o de derechas pueda afectar a cómo conciben la crisis económica en sus dimensiones política y económica.

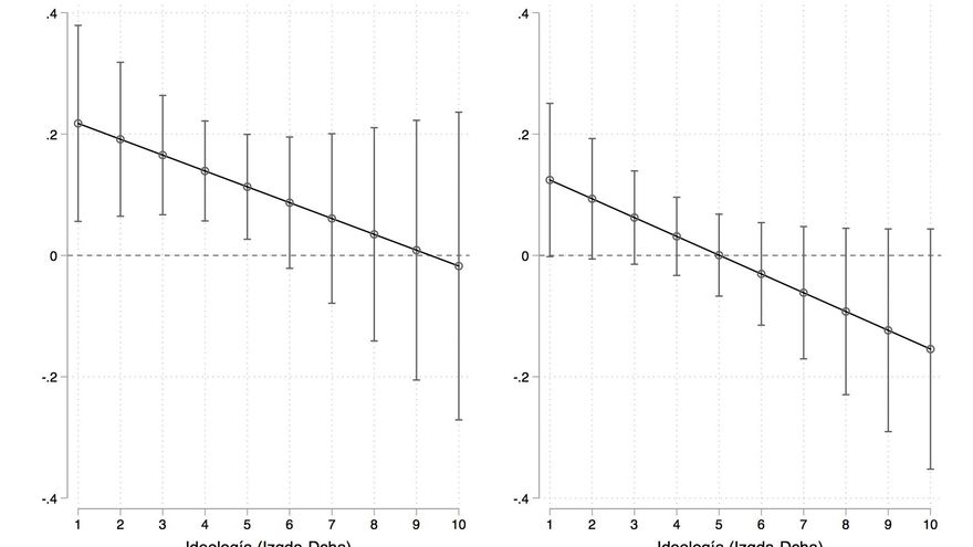
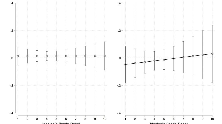
Esto lo podemos comprobamos en los siguientes gráficos. En el primero, comprobamos las diferencias ideológicas a la hora de asociar la crisis con un sistema económico injusto. También miramos el efecto del experimento en demandar reformas económicas (de nuevo, en una escala de 1 a 5). El gráfico muestra que las diferencias ideológicas no son relevantes. Asociar la crisis con cuestiones que tienen que ver con un sistema económico fallido no depende de la ideología. Para la afirmación concreta de demandar reformas económicas, parece que hay una vinculación con la crisis algo mayor para los ciudadanos de derecha, pero las diferencias son pequeñas y lejos de tener significatividad estadística. No parece, pues, que hagamos una lectura más “económica” de la crisis en función de nuestra ideología. No ocurre así con los factores políticos. Los ciudadanos de izquierdas realizan una lectura política de la crisis notablemente mayor que los de derecha. Cuando realizamos el análisis para la demanda de más reformas políticas, también vemos un efecto, aunque en esta ocasión menor. Estos análisis consideran la ideología como algo continuo, pero si realizamos el análisis dividiendo la ideología en tres grupos (izquierda, centro y derecha), los resultados son idénticos.

Gráfico 3: Efecto del priming de la crisis económica sobre valoraciones políticas

Gráfico 4: Efecto del priming de la crisis económica sobre valoraciones económicas

Estos resultados pueden tener algunas implicaciones importantes. En primer lugar, ponen de manifiesto que los efectos de la crisis económica no se pueden entender sin su dimensión política. Los sentimientos de no representación, seguramente exacerbados por la recesión, son una parte importante del malestar ciudadano que ha llevado a la satisfacción con el sistema político a mínimos en España. En segundo lugar, estos resultados también explican por qué la recuperación económica no está trayendo más calma política. Si una parte de las consecuencias de la crisis han tenido que ver con la crisis de representación, la salida de la crisis no va a solucionarla necesariamente. Esta “lectura” política de la crisis es particularmente relevante en los ciudadanos de izquierda. Tal vez eso explica el estado de aletargamiento que parte de su electorado vive últimamente.

Sobre este blog

Piedras de papel es un blog en el que un grupo de sociólogos y politólogos tratamos de dar una visión rigurosa sobre las cuestiones de actualidad. Nuestras herramientas son el análisis de datos, los hechos contrastados y los argumentos abiertos a la crítica.

Autores:

Aina Gallego - @ainagallego

Alberto Penadés - @AlbertoPenades

Ferran Martínez i Coma - @fmartinezicoma

Ignacio Jurado - @ignaciojurado

José Fernández-Albertos - @jfalbertos

Leire Salazar - @leire_salazar

Lluís Orriols - @lluisorriols

Marta Romero - @romercruzm

Pablo Fernández-Vázquez - @pfernandezvz

Sebastián Lavezzolo - @SB_Lavezzolo

Víctor Lapuente Giné - @VictorLapuente

Luis Miller - @luismmiller

Lídia Brun - @Lilypurple311

Sandra León Alfonso - @sandraleon_

Héctor Cebolla - @hcebolla

Ignacio Urquizu - @iurquizu

Etiquetas
stats