Has elegido la edición de . Verás las noticias de esta portada en el módulo de ediciones locales de la home de elDiario.es.
La portada de mañana
Acceder
La investigación del accidente de Adamuz intenta conocer qué pasó en los raíles
Crónica - 'La venganza del PP contra Óscar Puente', por Sáenz de Ugarte
Opinión - '¿Por qué el odio se volvió respetable?', por Alberto Garzón
Sobre este blog

Piedras de papel es un blog en el que un grupo de sociólogos y politólogos tratamos de dar una visión rigurosa sobre las cuestiones de actualidad. Nuestras herramientas son el análisis de datos, los hechos contrastados y los argumentos abiertos a la crítica.

Autores:

Aina Gallego - @ainagallego

Alberto Penadés - @AlbertoPenades

Ferran Martínez i Coma - @fmartinezicoma

Ignacio Jurado - @ignaciojurado

José Fernández-Albertos - @jfalbertos

Leire Salazar - @leire_salazar

Lluís Orriols - @lluisorriols

Marta Romero - @romercruzm

Pablo Fernández-Vázquez - @pfernandezvz

Sebastián Lavezzolo - @SB_Lavezzolo

Víctor Lapuente Giné - @VictorLapuente

Luis Miller - @luismmiller

Lídia Brun - @Lilypurple311

Sandra León Alfonso - @sandraleon_

Héctor Cebolla - @hcebolla

Ignacio Urquizu - @iurquizu

¿Estamos a favor de la globalización económica?

Ignacio Jurado

Una de los rasgos fundamentales de la pasada crisis económica, tanto en España como en Europa, ha sido sus marcadas consecuencias políticas. En ese sentido, esta crisis ha sido diferente. Como ya hemos analizado en anteriores posts, la Gran Recesión de 2008 no solo ha producido malestar económico, sino un descontento generalizado con la representación política que, entre otras cosas, ha hecho volar por los aires los sistemas de partidos de muchos países de nuestro entorno, incluido el nuestro.

Entre los debates que han seguido a la crisis económica y política, uno de los más pronunciados es el del surgimiento de un nuevo eje de competición entre partidarios de la globalización y aquellos que se oponen a ella. Este eje juntaría dos cosas: por una lado, la creación de sociedades abiertas y cosmopolitas frente al nativismo; por otro lado, la integración económica internacional. En el norte de Europa (y países del Sur como Italia) ha sido muy pronunciado el debate y la tensión alrededor de la inmigración. En España esta faceta ha permanecido mucho más reducida. En cambio, el segundo aspecto de la globalización y la tensión entre integración en la economía internacional y sus estructuras y la pérdida de control político sobre la economía ha sido mucho más relevante.

En este post me quiero centrar específicamente en este aspecto económico de la globalización: ¿estamos a favor de la globalización económica? ¿podemos hablar de que ésta suponga un nuevo eje de competición política?

El pasado mes de mayo realicé una encuesta con Netquest en que pude preguntar sobre algunas cuestiones de la economía internacional. En concreto, la encuesta preguntaba cómo de positivo o de negativo ven los españoles algunos aspectos de la economía globalizada. Así, a los encuestados se les planteaba cinco afirmaciones sobre globalización económica: “Las empresas pueden invertir y mover capitales entre países sin limitaciones”; “las economías de los países cada vez estén más integradas internacionalmente” ;“ las empresas deben tener libertad de establecerse y mover trabajos al país que quieran”, “los Gobiernos han de tener en cuenta a los mercados internacionales cuando toman sus decisiones ” y “la Unión Europea puede fijar límites al déficit y el gasto de los países”. Los encuestados debían valorar cada uno de esos aspectos entre muy positivo y muy negativo.

Los siguientes gráficos muestran la distribución de las respuestas. Estos reflejan principalmente dos cosas. Primero, que existe una cierta preponderancia en España de la visión positiva de la integración económica internacional. Incluso cuestiones que podrían generar un rechazo alto y los ciudadanos suelen vincular a la crisis de representación política emergida de la pasada crisis económica tienen mejor evaluación de lo que podría esperarse. Por ejemplo, un 50% de los ciudadanos dicen que es positivo o muy positivo que los gobiernos tengan en cuenta a los mercados internacionales cuando decidan sus políticas.

Gráfico 1: Valoración sobre distintos aspectos de la globalización económica

 

No obstante, y a pesar de que suele haber algo más de visiones positivas que negativas, un segundo importante a destacar es que existe bastante variación en cómo los ciudadanos españoles ven estos aspectos de la economía internacional. Aunque no podemos decir que exista polarización, dado que la mayoría de los ciudadanos se concentran en los valores más centrados, la visión positiva de la integración económica, dista mucho de ser un consenso. Digamos que, desde posiciones no extremas, hay disenso y divergencia. Esta queda patente, por ejemplo, en preguntas como si las empresas deben poder mover trabajos libremente entre países, donde la distribución es prácticamente simétrica entre visiones positivas y negativas.

¿Qué explica esta variación? ¿Podemos estar ante un nuevo eje de competición política? En realidad, si uno analiza algunos de las variables habituales para ver si estamos ante perfiles sociodemográficos distintos, las diferencias no son importantes. Variables como edad, educación, situación laboral o ingresos tienen poco poder explicativo para predecir las evaluaciones positivas o negativas de las afirmaciones anteriores (no mostramos aquí los gráficos para no convertir el artículo en tedioso). En otras palabras, no son determinantes para que nos atrevamos a establecer una fractura de competición nueva.

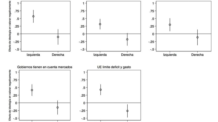
La principal variable que emerge como capaz de estructurar las visiones sobre la economía internacional es la ideología. Los siguientes gráficos muestran el efecto de la ideología en la evaluación negativa de los cinco aspectos de la economía globalizada mencionados más arriba (más detalles de los modelos abajo). Hemos definido como izquierda aquellos que se autoubican en una escala desde 0 (extrema izquierda) y 10 (extrema derecha) entre el 0 y el 4, centro aquellos que están en el 5, y derecha los ciudadanos que se ubican entre el 6 y el 10. Los gráficos muestran en el efecto de ser de izquierdas o derechas comparado con el centro en cada una de las cinco dimensiones[1]. 

Gráfico 2: Efecto de la ideología sobre valoración de la globalización económica

 

Como se puede comprobar, la ideología estructura las visiones sobre la economía internacional. Más en concreto, los ciudadanos de centro-izquierda y de izquierda tienen siempre visiones significativamente más negativas que los de centro y derecha en las cinco afirmaciones planteadas. Es interesante también comprobar que las visiones de los ciudadanos de derechas no suelen ser significativamente distintas de las de los de centro. En media, suelen hacer una evaluación más positiva, pero la diferencia solo es significativa en relación a la capacidad de la UE de limitar déficit y gasto. Parece, por tanto, que declararse de izquierdas es lo que separa en la visión de la globalización económica del resto de la población.

Lo interesante de estos resultados es que ponen muy en entredicho considerar la globalización económica, al menos para España, como un eje de competición nuevo y distinto. La mejor manera de predecir si un ciudadano está a favor de economías más abiertas es preguntar por la ideología. La ideología es, una vez más, un eje poderoso que subsume las posiciones sobre multitud de asuntos: en este caso, la globalización económica

[1] Los gráficos provienen de modelos OLS controlando por edad, género, educación, ingresos y situación laboral. Los resultados son muy parecidos utilizando ordered logits. Los resultados no cambian si consideramos centro como 4, 5 y 6, pero dado que en España los ciudadanos evitan ubicarse en posiciones escoradas hacia la derecha, he utilizado esta codificación.

Sobre este blog

Piedras de papel es un blog en el que un grupo de sociólogos y politólogos tratamos de dar una visión rigurosa sobre las cuestiones de actualidad. Nuestras herramientas son el análisis de datos, los hechos contrastados y los argumentos abiertos a la crítica.

Autores:

Aina Gallego - @ainagallego

Alberto Penadés - @AlbertoPenades

Ferran Martínez i Coma - @fmartinezicoma

Ignacio Jurado - @ignaciojurado

José Fernández-Albertos - @jfalbertos

Leire Salazar - @leire_salazar

Lluís Orriols - @lluisorriols

Marta Romero - @romercruzm

Pablo Fernández-Vázquez - @pfernandezvz

Sebastián Lavezzolo - @SB_Lavezzolo

Víctor Lapuente Giné - @VictorLapuente

Luis Miller - @luismmiller

Lídia Brun - @Lilypurple311

Sandra León Alfonso - @sandraleon_

Héctor Cebolla - @hcebolla

Ignacio Urquizu - @iurquizu

Etiquetas
stats