Has elegido la edición de . Verás las noticias de esta portada en el módulo de ediciones locales de la home de elDiario.es.
La portada de mañana
Acceder
La izquierda confederal abre una nueva etapa: “Se acabó el derrotismo”
El consejero cesado por Ayuso denunció un caso de corrupción de núcleo duro
OPINIÓN | 'Pactos en la izquierda, ¿para qué?', por Enric González
Sobre este blog

Piedras de papel es un blog en el que un grupo de sociólogos y politólogos tratamos de dar una visión rigurosa sobre las cuestiones de actualidad. Nuestras herramientas son el análisis de datos, los hechos contrastados y los argumentos abiertos a la crítica.

Autores:

Aina Gallego - @ainagallego

Alberto Penadés - @AlbertoPenades

Ferran Martínez i Coma - @fmartinezicoma

Ignacio Jurado - @ignaciojurado

José Fernández-Albertos - @jfalbertos

Leire Salazar - @leire_salazar

Lluís Orriols - @lluisorriols

Marta Romero - @romercruzm

Pablo Fernández-Vázquez - @pfernandezvz

Sebastián Lavezzolo - @SB_Lavezzolo

Víctor Lapuente Giné - @VictorLapuente

Luis Miller - @luismmiller

Lídia Brun - @Lilypurple311

Sandra León Alfonso - @sandraleon_

Héctor Cebolla - @hcebolla

Ignacio Urquizu - @iurquizu

¿Cuánto ganan nuestros diputados?

Ferran Martínez i Coma

Uno de los mantras más extendidos sobre la política española es que nuestros representantes ganan mucho dinero. En esta entrada analizo si nuestros políticos –los diputados en este caso- cobran demasiado. Es un asunto de mucha importancia por varias razones. Primero porque si ganan demasiado, pueden alejarse del ciudadano medio. Segundo, porque los políticos cobran de los impuestos que pagamos (casi) todos. Tercero, porque queremos políticos que ganen lo suficiente como para tener una vida desahogada y se concentren en los problemas de toda la sociedad, aunque este es un supuesto que algunos puedan cuestionar.

¿Ganan nuestros representantes mucho dinero? Según el Régimen Económico y Ayudas de los Señores Diputados, todos los diputados tienen una asignación idéntica de 2.813,87 € al mes. Luego tienen complementos “en función del cargo que desempeñe el Diputado por ser miembro de la Mesa, o de la Junta de Portavoces, bien de la Cámara o bien de alguna Comisión.” Los cargos de cada grupo no son acumulables. La tabla 1 muestra los complementos mensuales por razón del cargo:

Tabla 1. ¿Cuánto ganan nuestros diputados?

Así, un diputado sin ninguna responsabilidad en la Mesa o en las respectivas Comisiones –universidades, sanidad, pensiones…- y que provenga de Madrid gana aproximadamente 3680 euros, A igualdad de cargo, una diputada que venga de, pongamos, Burgos, gana alrededor de 4636. En ningún caso estoy incluyendo el reembolso de gasto que se realiza por transporte y hasta 3000 euros anuales en taxi para desplazamientos por Madrid. Una Presidenta de Comisión que venga de Lleida supera los 6067 euros.

Visto lo que ganan, ¿es mucho o es poco? Depende de con qué se compare. A mi modo de ver, hay dos formas de responder a esa pregunta. La primera es comparando lo que ganan nuestros representantes con lo que ganan el resto de sus colegas parlamentarios, sus pares, en el entorno europeo. La segunda es comparando la diferencia entre lo que ganan los representantes y lo que ganan sus representados. Cuanto mayor sea esta diferencia, más alejados estarían los representantes del común de los representados que, al fin y al cabo, son quienes pagan los salarios de los primeros.

He encontrado los datos de los salarios en Euronews. Para contrastarlos, también los he buscado aquí. Si las cifras coincidían (o eran aproximadas), las he dejado; si solo había una fuente, he utilizado dicha fuente. Si había una disparidad muy grande entre una y otra, la he corregido yéndome a la web oficial (ej. España). También hay que tener en cuenta que en algunos casos no se incluyen las dietas (ej. Suecia) y en otros sí (ej. Italia). Los sueldos de los representantes se recogen en la cuarta columna. Como se ve, el promedio para los 28 países de la UE es de algo más de 62000 euros al año. Italianos, austriacos y alemanes son los que más ganan. Búlgaros, rumanos y malteses, los que menos. Los españoles –con unos 55000 euros en promedio (la referencia es la diputada rasa por Burgos)- se ubican por debajo de estos 62000 euros. Por lo tanto, los parlamentarios españoles NO ganan más que el resto de sus colegas europeos.

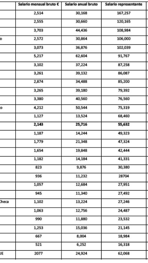
La segunda forma de responder a la pregunta de si los parlamentarios ganan mucho o poco es compararlos con la población a la que se deben. Euronews sólo proporcionaba los datos del salario medio para 2010. En la Wikipedia (que utiliza en la mayoría de casos fuentes oficiales), los he encontrado más recientes. Igual que con los salarios de los parlamentarios, son salarios medios brutos (antes de impuestos). Esto es lo que presentan las segunda (mensual) y tercera (anual) columnas de la Tabla 2. A partir de estos datos, he calculado la ratio entre el salario de los representantes y el salario medio del país (representados).

Tabla 2. Comparación salario diputados con salarios medios habitantes

Los resultados son reveladores. Italia, Grecia y Austria tienen las ratio mayores. Dinamarca, Luxemburgo y Malta, las menores. Además de estos tres países, Finlandia, Eslovaquia y Croacia presentan una ratio inferior a 2. Esto quiere decir, que los representantes, en promedio, ganan menos del doble que sus representados. Los representantes de nuestro país se ubican con un 2.16, entre belgas y eslovenos, por debajo de la media de la UE (2.49) y muy alejado de nuestros vecinos lusos o de los británicos que ahora dejarán la UE.

A pesar de los datos, muchos pueden seguir pensando que los diputados ganan demasiado. Y es lógico habiendo vivido una profunda crisis económica que ha precarizado el mercado laboral, ha incrementado la pobreza (especialmente la infantil) y ha disparado la desigualdad (como bien nos recordaba Víctor Lapuente el otro día). Además, seguro que los comportamientos y actitudes de algunos de nuestros representantes no han ayudado a mejorar la imagen que tenemos de ellos. También, por qué no decirlo, es un debate facilón, que concita apoyos y aplausos: ¿cómo no vamos a bajarles el salario a los diputados? Pero, y aquí ahora doy opinión, tal vez deberíamos centrarnos en los problemas apuntados en este mismo párrafo –pobreza, precarización del empleo, desigualdad. Son asuntos complejos, farragosos, y de difícil traducción en una tertulia en horario de máxima audiencia… pero es lo que se necesita.

PS. Averiguar qué factores explican variaciones de ratio tan importantes entre países se escapa al objetivo de esta entrada. Pero frente a las explicaciones culturalistas, tan del gusto de Jeroen Dijsselbloem -ya saben, nos va el alcohol y las mujeres-, sí me gustaría sugerir que, tal vez, el tamaño de los países o la dispersión de la población pueda explicar algo. Si nos fijamos, las menores ratio se dan en países pequeños y/o con poblaciones relativamente concentradas: Malta, Luxemburgo, Dinamarca… Es sólo una hipótesis, pero parece más defendible que las supuestas explicaciones culturales que nos acechan últimamente.

Sobre este blog

Piedras de papel es un blog en el que un grupo de sociólogos y politólogos tratamos de dar una visión rigurosa sobre las cuestiones de actualidad. Nuestras herramientas son el análisis de datos, los hechos contrastados y los argumentos abiertos a la crítica.

Autores:

Aina Gallego - @ainagallego

Alberto Penadés - @AlbertoPenades

Ferran Martínez i Coma - @fmartinezicoma

Ignacio Jurado - @ignaciojurado

José Fernández-Albertos - @jfalbertos

Leire Salazar - @leire_salazar

Lluís Orriols - @lluisorriols

Marta Romero - @romercruzm

Pablo Fernández-Vázquez - @pfernandezvz

Sebastián Lavezzolo - @SB_Lavezzolo

Víctor Lapuente Giné - @VictorLapuente

Luis Miller - @luismmiller

Lídia Brun - @Lilypurple311

Sandra León Alfonso - @sandraleon_

Héctor Cebolla - @hcebolla

Ignacio Urquizu - @iurquizu

Etiquetas
stats