Has elegido la edición de . Verás las noticias de esta portada en el módulo de ediciones locales de la home de elDiario.es.
La portada de mañana
Acceder
La policía del PP usó un montaje para investigar a un senador de Podemos
Viaje al barrio del presidente de Siria que derrocó a Asad
OPINIÓN | 'Todo a la vez en todas partes en Torrejón', por Antón Losada
Sobre este blog

Piedras de papel es un blog en el que un grupo de sociólogos y politólogos tratamos de dar una visión rigurosa sobre las cuestiones de actualidad. Nuestras herramientas son el análisis de datos, los hechos contrastados y los argumentos abiertos a la crítica.

Autores:

Aina Gallego - @ainagallego

Alberto Penadés - @AlbertoPenades

Ferran Martínez i Coma - @fmartinezicoma

Ignacio Jurado - @ignaciojurado

José Fernández-Albertos - @jfalbertos

Leire Salazar - @leire_salazar

Lluís Orriols - @lluisorriols

Marta Romero - @romercruzm

Pablo Fernández-Vázquez - @pfernandezvz

Sebastián Lavezzolo - @SB_Lavezzolo

Víctor Lapuente Giné - @VictorLapuente

Luis Miller - @luismmiller

Lídia Brun - @Lilypurple311

Sandra León Alfonso - @sandraleon_

Héctor Cebolla - @hcebolla

Ignacio Urquizu - @iurquizu

La computerización del trabajo

Aina Gallego

¿Cómo afectarán las nuevas tecnologías al empleo y al trabajo en los próximos años? ¿Quiénes serán los ganadores y los perdedores del cambio tecnológico? Desde que alguien hizo de una piedra un hacha, la tecnología ha ido transformando la estructura social en función de quién tiene cualidades o habilidades que se complementan bien con las nuevas tecnologías, como fuerza física y hachas.

El viejo debate sobre los efectos sociales del cambio tecnológico se ha intensificado en los últimos años. Con el avance en campos como la robótica, la inteligencia artificial o el machine learning, más y más actividades pueden ser realizadas de forma más barata y mejor por máquinas, ya sea conducir o jugar a Gao. Algunos piensan que estas nuevas tecnologías traerán cambios mínimos, pero otros como Brynjolfsson and McAfee en The Second Machine Age auguran que una gran transformación del trabajo está a la vuelta de la esquina.

Para analizar de forma más concreta quién ganará y perderá con el cambio tecnológico, Frey y Osborne estiman el “riesgo de computerización” de diferentes ocupaciones. Preguntando a expertos en diferentes campos, identificaron habilidades como la creatividad, la inteligencia social o las tareas de percepción y manipulación como las más difíciles de emular por ordenadores en los próximos 20 años. Después asignaron a más de 700 ocupaciones, con la ayuda de machine learning, un valor de 0 (mínimo riesgo de computerización) a 1 (máximo riesgo) en función de las habilidades y tareas principales que requiere cada ocupación. Estos valores reflejan la proporción del empleo potencialmente sustituido por capital desde un punto de vista de las capacidades tecnológicas en el futuro.

Las profesiones actuales con bajo riesgo de computerización son muy variadas, y van desde los coreógrafos a los cirujanos maxilofaciales, los profesores de primaria o los trabajadores sociales. En el otro extremo se encuentran profesiones como los reparadores de relojes, contables, modelos de revistas, conductores, o árbitros. Estas últimas ocupaciones tenderán a tener menores salarios o incluso a desaparecer a medida que las máquinas realicen sus tareas de forma más barata que los humanos.

¿Cuántos trabajos tienen riesgo de computerización? El siguiente gráfico muestra el porcentaje de trabajo que puede ser sustituido por capital tecnológico en diferentes países europeos estimado en base a los datos de la sexta ola de la Encuesta Social Europea. Algunos países como los escandinavos parecen haber ido preparándose para este cambio, especializándose en empleos con un bajo riesgo. En países como Portugal podemos predecir que la implantación de las tecnologías digitales conllevará un enorme cambio social. El riesgo en España es medio-alto, por encima de la mayoría de países de Europa Occidental. En una economía con grandes dificultades para generar empleo la elevada vulnerabilidad a la sustitución de trabajo por capital resulta especialmente preocupante.

 

Gráfico 1: El riesgo medio de computerización en Europa

 

La siguiente cuestión es cómo afectarán estos cambios a la estructura social y la desigualdad. Esto depende de qué tipo de trabajadores tienen habilidades que pueden ser realizadas por máquinas, reduciéndose su valor, y cuáles tienen habilidades complementarias, viéndose incrementada su productividad. Respecto a esta pregunta, existe cada vez más consenso entre los economistas que la creciente desigualdad en la mayoría de economías avanzadas se debe precisamente a lo que se denomina “skill-biased” o “routine-biased” technological change. Es decir, los cambios tecnológicos están beneficiando a los más cualificados, que no ven en peligro sus trabajos y cuyas habilidades son complementarias con las máquinas.

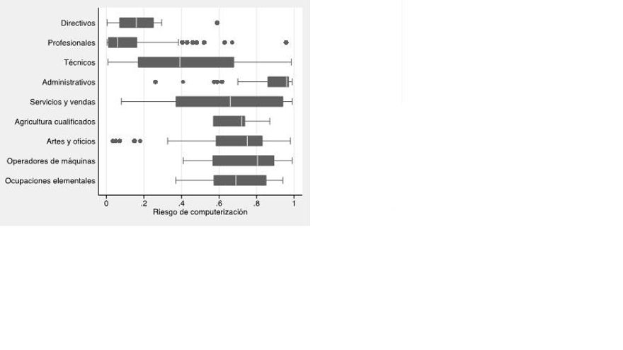
La consecuencia de que quiénes más se benefician del cambio tecnológico sean los más cualificados es un aumento en las brechas salariales y la desigualdad. El siguiente gráfico analiza esta cuestión usando los mismos datos (pero excluyendo a los países no democráticos). Las cajas muestran el valor de riesgo de computerización en los percentiles 25, 50 y 75 en cada uno de los principales grupos ocupacionales.

Gráfico 2: Riesgo de computerización por ocupaciones

 

Podemos ver qué los dos grupos de mayor estatus, los directivos y los profesionales, tienen riesgos muy bajos, sugiriendo que estas ocupaciones realizan actividades difíciles de sustituir por máquinas. Por tanto su valor y salarios tenderán a mantenerse o aumentar. Las ocupaciones con mayor riesgo son las clases medias tradicionales como los administrativos (secretarias, contables, etc.) o los obreros cualificados, quiénes en muchos países gozan de salarios decentes gracias a la protección sindical. Estos grupos sufrirán presiones bajistas en sus salarios, lo que lleva a muchos a predecir que se producirá un “vaciamiento” de las clases medias. El resultado de estas tendencias es un aumento de la desigualdad.

Por supuesto, a medida que desaparezcan empleos otros nuevos se crearán de la misma manera que los conductores de tranvías sustituyeron a los conductores de coches de caballos. El impacto último de estos cambios sociales dependerá de tres tipos de factores. El primero es la velocidad a la que se produzcan los cambios, porque a más velocidad más difícil la capacidad de adaptación. El segundo es la diferencia entre el tipo de viejas y nuevas ocupaciones. En el ejemplo de los conductores, reciclarse es sencillo, pero puede resultar complicado para un operador de fábrica que pierde su empleo convertirse en el ingeniero industrial que ahora demanda su empresa. El tercer factor son las políticas de educación y empleo y es en el que más se puede incidir. Será importante que su diseño tenga en cuenta la tecnología que se avecina en el futuro y su previsible impacto económico y social.  

Sobre este blog

Piedras de papel es un blog en el que un grupo de sociólogos y politólogos tratamos de dar una visión rigurosa sobre las cuestiones de actualidad. Nuestras herramientas son el análisis de datos, los hechos contrastados y los argumentos abiertos a la crítica.

Autores:

Aina Gallego - @ainagallego

Alberto Penadés - @AlbertoPenades

Ferran Martínez i Coma - @fmartinezicoma

Ignacio Jurado - @ignaciojurado

José Fernández-Albertos - @jfalbertos

Leire Salazar - @leire_salazar

Lluís Orriols - @lluisorriols

Marta Romero - @romercruzm

Pablo Fernández-Vázquez - @pfernandezvz

Sebastián Lavezzolo - @SB_Lavezzolo

Víctor Lapuente Giné - @VictorLapuente

Luis Miller - @luismmiller

Lídia Brun - @Lilypurple311

Sandra León Alfonso - @sandraleon_

Héctor Cebolla - @hcebolla

Ignacio Urquizu - @iurquizu

Etiquetas
stats