Has elegido la edición de . Verás las noticias de esta portada en el módulo de ediciones locales de la home de elDiario.es.
Sobre este blog

Piedras de papel es un blog en el que un grupo de sociólogos y politólogos tratamos de dar una visión rigurosa sobre las cuestiones de actualidad. Nuestras herramientas son el análisis de datos, los hechos contrastados y los argumentos abiertos a la crítica.

Autores:

Aina Gallego - @ainagallego

Alberto Penadés - @AlbertoPenades

Ferran Martínez i Coma - @fmartinezicoma

Ignacio Jurado - @ignaciojurado

José Fernández-Albertos - @jfalbertos

Leire Salazar - @leire_salazar

Lluís Orriols - @lluisorriols

Marta Romero - @romercruzm

Pablo Fernández-Vázquez - @pfernandezvz

Sebastián Lavezzolo - @SB_Lavezzolo

Víctor Lapuente Giné - @VictorLapuente

Luis Miller - @luismmiller

Lídia Brun - @Lilypurple311

Sandra León Alfonso - @sandraleon_

Héctor Cebolla - @hcebolla

Ignacio Urquizu - @iurquizu

PSOE y Podemos: ¿Se puede cooperar en la Comunidad de Madrid?

Sebastián Lavezzolo

Con la dimisión de Cristina Cifuentes comienza la precampaña de las elecciones regionales de mayo de 2019. Unas elecciones que se espera serán muy competidas, pues ninguno de los partidos llegaría con una ventaja significativa y mucho menos con capacidad de ganar por mayoría absoluta. En el espectro ideológico de la derecha Ciudadanos le está comiendo terreno al PP madrileño. En la izquierda Podemos se ve más atractivo con Errejón para disputarle el liderazgo al PSOE, quien previsiblemente mantendrá a Gabilondo, un candidato que gusta entre los suyos.

Centraré este post en la competición entre estos dos últimos partidos. Me propongo explorar si existen o no condiciones para la cooperación entre el primer y segundo partido de la oposición en la Comunidad de Madrid: el PSOE y Podemos. Dicha exploración aspira a evaluar la idea fuerza que hace semanas está intentando promover el que será con casi toda seguridad el candidato de Podemos a la Presidencia de la CAM: Errejón defiende que la relación con los socialistas debe estar gobernada por una “competición virtuosa” entre las dos formaciones políticas, es decir mantener la pugna política que justifica sus diferencias pero haciendo un especial esfuerzo por encontrar un espacio de comunión programática que les permita forzar un giro significativo en el rumbo político. En otras palabras, cooperar para que se pueden implementar las políticas en las que ambos partidos están de acuerdo y que la política deje de estar pilotada por el PP y Ciudadanos. En Madrid y en España.

Si bien el dirigente de Podemos defiende esta posición estratégica fundamentalmente de cara a las elecciones autonómicas, esta es también su opinión respecto a cómo deberían orientarse las relaciones con el PSOE a nivel estatal. Así lo dejó escrito en un artículo de prensa. Pero ahí el errejonismo tiene pocos resortes. Al menos de momento. Centrándonos en la Comunidad de Madrid, pues, y conociendo las preferencias de la oferta, cabe preguntarnos si existe demanda para dicha cooperación. ¿Qué fracción del electorado de izquierda sería proclive a la cooperación? ¿Se diferencian mucho de los menos proclives a cooperar? ¿Cuáles son las principales barreras?

Lamentablemente no existen los datos ideales para contestar a estas preguntas, entre otras cosas porque no existe un CIS madrileño como el Centre d’Estudis d’Opinió (CEO) en Cataluña, y porque en contadas ocasiones se hacen preguntas en relación a las preferencias de cooperación entre partidos. No obstante, podemos aproximarnos de una manera alternativa: agruparé las muestras para la Comunidad de Madrid de los tres últimos barómetros del CIS en donde se pregunta por la intención de voto (en las elecciones generales), y asumiré que si un votante de Podemos [PSOE] declara que estaría dispuesto a votar al PSOE [Podemos] con una probabilidad igual o mayor al 40% estaríamos frente un votante potencialmente cooperativo. De lo contrario estaríamos frente a un votante de Podemos o del PSOE no cooperativo, es decir, con cierta animadversión a comulgar con su rival político.

Seguramente esta forma de capturar una actitud favorable a la cooperación no se ajuste perfectamente a la realidad, en tanto y en cuanto pueden existir muchos votantes de Podemos [PSOE] que nunca estarían dispuestos a votar al PSOE [Podemos] pero sí a una “cooperación virtuosa”. Es cierto, y ello supone que los datos mostrados más abajo deben tomarse con cautela. Pero en cualquier caso es muy probable que el sesgo sea a la baja, pues –especulo– es más difícil que no haya propensión a cooperar si un votante de un partido votaría al  rival en 4 de 10 ocasiones (probabilidad igual o mayor al 40%).

Con estos mimbres comencemos a explorar los datos. El gráfico 1 muestra la distribución de la probabilidad de voto declarada por los votantes de Podemos y PSOE a sus rivales políticos. En color morado pintamos la probabilidad de votar a Podemos por un votante del PSOE y en color rojo la probabilidad de votar al PSOE por un votante del Podemos. Vemos que cerca del 40% de los votantes socialistas nunca votarían a podemos (barra morada en el valor 0), mientras que un tercio de los votantes de Podemos (33%) nunca lo haría por el PSOE (barra roja en el valor 0). En lo que aquí nos ocupa, vemos que agregando las barras que van del 40% en adelante, cerca de un tercio de los votantes socialista (32%) estarían dispuestos a dar su voto a la formación morada, mientras que un 40% de los votantes de Podemos estaría dispuesto a hacerlo por los socialistas.

Si a este amplio margen para la cooperación incorporamos a los votantes de IU que también declaran una probabilidad mayor al 40% de votar a los socialistas nos encontramos que del conjunto del electorado de PSOE y Podemos en la CAM el 47% son votantes cooperativos (a partir de ahora representados en barras pintadas de color burdeos, la mezcla del morado y el rojo), mientras que el 53% son votantes NO cooperativos (barras sin pintar).

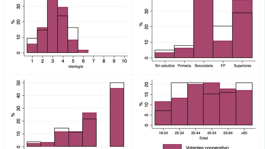
Para considerar si es o no una buena estrategia optar por la cooperación es útil conocer si existen o no diferencias entre estos dos perfiles del electorado de izquierdas. Es decir, saber si existen características que hagan de la cooperación una estrategia conflictiva de cara al electorado no cooperativo. ¿Cuáles son las características que los diferencian? El gráfico 2 explora cuatro: ideología, nivel educativo, edad y tamaño del municipio en que viven. En ninguna de ellas se encuentran divergencias destacables. Como es de esperar este electorado se distribuye entre el 1 y el 5 de la escala ideológica. Las pequeñas diferencias entre los votantes cooperativos y no cooperativos aparecen en los extremos. Seguramente los de Podemos en el 1 y los socialistas en el 5. En el 3 y el 4, en donde se ubica el 65% de todo el electorado socialista y morado, las diferencias son menores, y en particular en el 3 (cerca del 40%) mínimas. Los más y menos proclives a encontrar un espacio de comunión con el rival no son ideológicamente distintos. Un test de medias confirma que estas diferencias no son estadísticamente significativas.

En lo que respecta a los niveles de educación vemos que la distribución entre un grupo y otro de votantes es también similar. La única diferencia que salta a la vista es que entre los votantes NO cooperativos hay, en términos relativos, un mayor porcentaje con niveles medios de formación (FP) y menor porcentaje con estudios secundarios o superiores. Estas diferencias tampoco son relevantes desde el punto de vista estadístico.

Las semejanzas entre los votantes del PSOE y Podemos cooperativos y NO cooperativos son aún más claras si los agrupamos por el tamaño en el municipio que residen. Solo destaca una pequeña diferencia en las ciudades con más de 1 millón de habitantes, aunque esta divergencia no es estadísticamente significativa. Por último, en lo que respecta a la edad, vemos que en cuatro de los seis grupos de edad existen disimilitudes. Los votantes cooperativos son más numerosos entre los muy jóvenes (18-24 años) y los entrados ya en mediana edad (45-54), mientras que los votantes NO cooperativos tienen más presencia relativa entre los jóvenes de entre 25 y 34 años así como entre los mayores de 65. No obstante, la comparación de medias no indica que estas diferencias sean relevantes.

Las diferencias entre estos dos grupos de votantes respecto a otra serie de variables sociodemográficas (el sexo, por ejemplo) tampoco parecen ser importantes. Entonces ¿por qué existe entre los votantes del PSOE y de Podemos quienes expresan animadversión o antipatía por el partido rival en el lado izquierdo del espectro político? Si volvemos la mirada sobre la percepción que éstos tienen sobre los líderes políticos puede que demos con parte de la explicación. Veamos los gráficos 3 y 4 que aparecen a continuación.

A diferencia de los análisis anteriores, ahora las diferencias entre votantes cooperativos (barras pintadas) y NO cooperativos (barras sin pintar) emergen con mayor claridad. Un 58% de los votantes menos proclives a cooperar desaprueban la actuación política de Pablo Iglesias. Un 28% lo hacen con un 0. Seguramente se trate del grueso de los votantes socialistas. Lo aprueban un 42%, un 9% es con un aprobado justo (5), y en los valores más positivos (8, 9 y 10) destacan, seguramente, los votantes morados muy alejados de la cooperación con el PSOE. Entre el votante con perfil pro-cooperación vemos que el 59% aprueba la actuación de Iglesias (valores igual o mayores a 5, el 25% le dan el aprobado justo), y el 41% lo desaprueban. La valoración media del líder de Podemos es de 3.8 entre los votantes NO cooperativos, mientras de 4.7 entre los cooperativos, y esta diferencia sí es estadísticamente significativa.

La valoración de la actuación política del líder del PSOE, Pedro Sánchez, también emerge como potencial explicación de las diferencias entre los dos tipos de votantes de nuestra comparación. El 40% de los menos proclives a cooperar desaprueban a Pedro Sánchez. El 60% restante la aprueba. En media, Sánchez, consigue el aprobado entre estos votantes menos probables a cooperar (un 5), pero la diferencia con la media de los más proclives a cooperar es estadísticamente significativa (un 6). Estas diferencias también se pueden ver en la comparación presentada en el gráfico de cajas (gráfico 5).

Tras realizar estos contrates cabe una interpretación poco enrevesada: el espacio de desencuentro entre los votantes de PSOE y Podemos no estaría estrictamente gobernado por variables estructurales, sino por su percepción de los liderazgos de cada una de estas formaciones políticas. Un análisis de regresión confirma este resultado: a medida que mejora la evaluación de los líderes políticos del partido rival (sea este Sánchez o Iglesias) aumentan las probabilidades de tener un perfil más cooperativo.

Siendo conscientes de los límites que supone este análisis así como de que los patrones de comportamiento electoral en las elecciones generales no son idénticos a los de las elecciones autonómicas, el mensaje que nos dejan estos datos encaja bastante con la intuición: los liderazgos tanto en el PSOE como en Podemos han sido polarizadores en el electorado de izquierdas a nivel estatal. Si la animadversión entre el electorado socialista y de Podemos pasa por el rechazo a sus líderes puede que Errejón y Gabilondo, con perfiles públicos más moderados y flexibles, sean un activo para la “cooperación virtuosa”. Ojalá pronto podamos estudiarlo mejor con más y mejores datos.

Sobre este blog

Piedras de papel es un blog en el que un grupo de sociólogos y politólogos tratamos de dar una visión rigurosa sobre las cuestiones de actualidad. Nuestras herramientas son el análisis de datos, los hechos contrastados y los argumentos abiertos a la crítica.

Autores:

Aina Gallego - @ainagallego

Alberto Penadés - @AlbertoPenades

Ferran Martínez i Coma - @fmartinezicoma

Ignacio Jurado - @ignaciojurado

José Fernández-Albertos - @jfalbertos

Leire Salazar - @leire_salazar

Lluís Orriols - @lluisorriols

Marta Romero - @romercruzm

Pablo Fernández-Vázquez - @pfernandezvz

Sebastián Lavezzolo - @SB_Lavezzolo

Víctor Lapuente Giné - @VictorLapuente

Luis Miller - @luismmiller

Lídia Brun - @Lilypurple311

Sandra León Alfonso - @sandraleon_

Héctor Cebolla - @hcebolla

Ignacio Urquizu - @iurquizu

Etiquetas
stats